2D AMRCLAW
Variables
amr_module Module Reference

The module contains the definition of a "node descriptor" as well as other global variables used during the whole run. More...

Variables

integer, parameter rsize = 5
 
integer, parameter nsize = 19
 
integer, parameter levelptr = 1
 node number (index) of next grid on the same level More...
 
integer, parameter tempptr = 2
 temporary pointer More...
 
integer, parameter errptr = 3
 
integer, parameter nestlevel = 4
 AMR level of the grid. More...
 
integer, parameter cfluxptr = 5
 Pointer to an 5 by maxsp array, which has boundary information for this grid. More...
 
integer, parameter ffluxptr = 6
 pointer to the address of memory storing fluxes in a layer around the grid, to be used in conservation fixup near coarse-fine grid intersections. More...
 
integer, parameter store1 = 7
 pointer to the address of memory storing the first copy of solution data on this grid, usually for storing new solution More...
 
integer, parameter store2 = 8
 pointer to the address of memory storing the second copy of solution data on this grid, usually for storing old solution More...
 
integer, parameter ndilo = 9
 global i index of left border of this grid More...
 
integer, parameter ndihi = 10
 global i index of right border of this grid More...
 
integer, parameter ndjlo = 11
 global j index of lower border of this grid More...
 
integer, parameter ndjhi = 12
 global j index of upper border of this grid More...
 
integer, parameter storeaux = 13
 pointer to the address of memory storing auxiliary data on this grid More...
 
integer, parameter storeflags = 14
 pointer to the address of memory storing flags for refinement on this grid More...
 
integer, parameter numflags = 15
 number of flagged cells on this grid More...
 
integer, parameter domflags_base = 16
 domain flags, indexed within base level (lbase) index space More...
 
integer, parameter domflags2 = 17
 domain flags, indexed within level-of-this-grid level index space More...
 
integer, parameter bndlistst = 18
 pointer (actually it's an index in the bndList array) to the first node of a linked list, which stores all grids (on the same level) that border this grid More...
 
integer, parameter bndlistnum = 19
 number of grids (on the same level) that border this grid More...
 
integer, parameter cornxlo = 1
 x-coordinate of the left border of this grid More...
 
integer, parameter cornylo = 2
 y-coordinate of the lower border of this grid More...
 
integer, parameter cornxhi = 3
 x-coordinate of the right border of this grid More...
 
integer, parameter cornyhi = 4
 y-coordinate of the upper border of this grid More...
 
integer, parameter timemult = 5
 current simulation time on this grid More...
 
integer, parameter nextfree = 2
 
integer, parameter null = 0
 
integer, parameter nil = 0
 
integer, parameter gridnbor = 1
 
real(kind=8), parameter goodpt = 0.0
 
real(kind=8), parameter badpt = 2.0
 
real(kind=8), parameter badpro = 3.0
 
real(kind=8), parameter needs_to_be_set = 10.e33
 
real(kind=8), parameter rinfinity = 10.e32
 
integer, parameter iinfinity = 999999999
 
integer, parameter horizontal = 1
 
integer, parameter vertical = 2
 
integer, parameter maxgr = 15000
 
integer, parameter maxlv = 10
 
integer, parameter maxcl = 5000
 maximum number of clusters (grids) on each grid level More...
 
integer, parameter max1d = 60
 
integer, parameter maxvar = 10
 
integer, parameter maxaux = 20
 
integer, parameter maxwave = 10
 
integer, dimension(maxgrlistofgrids
 
integer, dimension(0:maxlv+1) liststart
 
integer, parameter bndlistsize = 8*maxgr
 
integer, dimension(bndlistsize, 2) bndlist
 
real(kind=8), dimension(maxlvhxposs
 
real(kind=8), dimension(maxlvhyposs
 
real(kind=8), dimension(maxlvpossk
 
real(kind=8), dimension(rsize, maxgrrnode
 
real(kind=8) tol
 
real(kind=8) tolsp
 
integer ibuff
 
integer mstart
 
integer ndfree
 
integer ndfree_bnd
 
integer lfine
 
integer, dimension(nsize, maxgrnode
 
integer, dimension(maxlvicheck
 
integer, dimension(maxlvlstart
 
integer, dimension(maxlvnewstl
 
integer, dimension(maxlvlistsp
 
integer, dimension(maxlvintratx
 
integer, dimension(maxlvintraty
 
integer, dimension(maxlvkratio
 
integer, dimension(maxlviregsz
 
integer, dimension(maxlvjregsz
 
integer, dimension(maxlviregst
 
integer, dimension(maxlvjregst
 
integer, dimension(maxlviregend
 
integer, dimension(maxlvjregend
 
integer, dimension(maxlvnumgrids
 
integer, dimension(maxlvnumcells
 
integer iorder
 
integer mxnest
 
integer kcheck
 
real(kind=8), dimension(:), allocatable alloc
 
integer memsize
 
integer, parameter lfdim =5000
 
integer, dimension(lfdim, 2) lfree
 
integer lenf
 
logical xperdom
 
logical yperdom
 
logical spheredom
 
real(kind=8) xupper
 
real(kind=8) yupper
 
real(kind=8) xlower
 
real(kind=8) ylower
 
integer nghost
 
integer, dimension(4) mthbc
 
real(kind=8), dimension(maxlvrvoll
 
real(kind=8) evol
 
real(kind=8) rvol
 
real(kind=8), dimension(maxlvavenumgrids
 
integer, dimension(maxlviregridcount
 
integer, dimension(maxlvtvoll
 
integer timeregridding
 
integer timeupdating
 
integer timevalout
 
integer timeflglvl
 
integer timegrdfit2
 
integer timegrdfit3
 
integer timegrdfitall
 
integer timebound
 
integer timestepgrid
 
integer timeflagger
 
integer timebufnst
 
integer timetick
 
real(kind=8), dimension(maxlvtvollcpu
 
real(kind=8) timetickcpu
 
real(kind=8) timeboundcpu
 
real(kind=8) timestepgridcpu
 
real(kind=8) timeregriddingcpu
 
real(kind=8) timevaloutcpu
 
integer lentot
 
integer lenmax
 
integer lendim
 
character(len=10), dimension(:), allocatable auxtype
 
integer, dimension(7) method
 
integer mwaves
 
integer mcapa
 
integer dimensional_split
 
integer, dimension(:), allocatable mthlim
 
real(kind=8) cfl
 
real(kind=8) cflmax
 
real(kind=8) cflv1
 
real(kind=8) cfl_level
 
logical use_fwaves
 
logical flag_richardson
 
logical flag_gradient
 
integer verbosity_regrid
 
logical printout
 
logical matlabout
 
logical ncarout
 
real(kind=8) tmass0
 
integer output_style
 
integer nstop
 
integer nout
 
integer iout
 
real(kind=8), dimension(:), allocatable tout
 
real(kind=8) t0
 
real(kind=8) tfinal
 
real(kind=8) tstart_thisrun
 
integer nq_components
 
integer naux_components
 
integer output_format
 
integer, dimension(:), allocatable output_q_components
 
integer, dimension(:), allocatable output_aux_components
 
logical output_aux_onlyonce
 
integer checkpt_style
 
integer nchkpt
 
integer checkpt_interval
 
real(kind=8), dimension(:), allocatable tchk
 
integer matlabu
 
integer, parameter parmunit = 12
 
integer, parameter chkunit = 10
 
integer, parameter inunit = 5
 
integer, parameter outunit = 66
 
integer, parameter pltunit1 = 3
 
integer, parameter rstunit = 9
 
integer, parameter dbugunit = 11
 
integer, parameter matunit = 70
 
logical dprint
 
logical eprint
 
logical edebug
 
logical gprint
 
logical nprint
 
logical pprint
 
logical rprint
 
logical sprint
 
logical tprint
 
logical uprint
 
character(len=200) rstfile
 
logical check_a
 

Detailed Description

The module contains the definition of a "node descriptor" as well as other global variables used during the whole run.

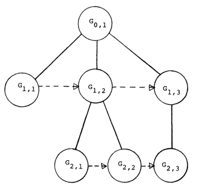
The "node descriptor" is a tree data structure we use to keep track of all AMR grids. Each grid in the grid hierarchy corresponds to a node in the tree. When a fine grid is nested in a coarse grid, its corresponding node in the tree is an offspring of the parent node corresponding to the coarse grid.

AMR_tree.png
Tree data structure for grid management

Each node has a fixed number of items of information describing the grid, stored and accessable as node(property number, node number) (which returns a integer type as either data itself or a pointer to a memory location) and rnode(property number, node number) (which returns a real type). E.g. node(nestlevel, 5) stores AMR level of grid 5. rnode(cornxlo, 3) stores x-coordinate of left border of grid 3.

See explanation to each data members in this module for details of all properties of a node.

Variable Documentation

◆ alloc

real(kind=8), dimension(:), allocatable amr_module::alloc

Definition at line 218 of file amr_module.f90.

Referenced by advanc(), basecheck(), bufnst2(), check(), colate2(), conck(), domain(), domgrid(), errest(), filval(), flagger(), flglvl2(), fluxsv(), gfixup(), ginit(), grdfit(), icall(), init_alloc(), intcopy(), intfil(), outmsh(), par_advanc(), prefilrecur(), prepbigstep(), prepc(), prepf(), resize_storage(), restrt(), restrt_alloc(), saveqc(), setdomflags(), spest2(), upbnd(), update(), and valout().

218  real(kind=8), allocatable, dimension(:) :: alloc ! new way, use allocatable, not pointer
real(kind=8), dimension(:), allocatable alloc
Definition: amr_module.f90:218

◆ auxtype

character(len=10), dimension(:), allocatable amr_module::auxtype

Definition at line 252 of file amr_module.f90.

Referenced by amr2(), prepbigstep(), and qad().

252  character(len=10), allocatable :: auxtype(:)
character(len=10), dimension(:), allocatable auxtype
Definition: amr_module.f90:252

◆ avenumgrids

real(kind=8), dimension(maxlv) amr_module::avenumgrids

Definition at line 237 of file amr_module.f90.

Referenced by amr2(), check(), domain(), regrid(), restrt(), setgrd(), and stst1().

◆ badpro

real(kind=8), parameter amr_module::badpro = 3.0

Definition at line 166 of file amr_module.f90.

Referenced by projec2().

166  real(kind=8), parameter :: badpro = 3.0
real(kind=8), parameter badpro
Definition: amr_module.f90:166

◆ badpt

real(kind=8), parameter amr_module::badpt = 2.0

Definition at line 165 of file amr_module.f90.

Referenced by addflags(), bufnst2(), errf1(), flagger(), and spest2().

165  real(kind=8), parameter :: badpt = 2.0
real(kind=8), parameter badpt
Definition: amr_module.f90:165

◆ bndlist

integer, dimension(bndlistsize,2) amr_module::bndlist

Definition at line 191 of file amr_module.f90.

Referenced by freebndrylist(), initbndrylist(), intfil(), makebndrylist(), nodget_bnd(), and putnod_bnd().

191  integer :: bndlist(bndlistsize,2) ! guess size, average # nbors 4? manage as linked list
integer, parameter bndlistsize
Definition: amr_module.f90:190
integer, dimension(bndlistsize, 2) bndlist
Definition: amr_module.f90:191

◆ bndlistnum

integer, parameter amr_module::bndlistnum = 19

number of grids (on the same level) that border this grid

Definition at line 139 of file amr_module.f90.

Referenced by freebndrylist(), intfil(), makebndrylist(), and nodget_bnd().

139  integer, parameter :: bndlistnum = 19
integer, parameter bndlistnum
number of grids (on the same level) that border this grid
Definition: amr_module.f90:139

◆ bndlistsize

integer, parameter amr_module::bndlistsize = 8*maxgr

Definition at line 190 of file amr_module.f90.

Referenced by initbndrylist(), and nodget_bnd().

190  integer,parameter :: bndlistsize = 8*maxgr
integer, parameter maxgr
Definition: amr_module.f90:173
integer, parameter bndlistsize
Definition: amr_module.f90:190

◆ bndlistst

integer, parameter amr_module::bndlistst = 18

pointer (actually it's an index in the bndList array) to the first node of a linked list, which stores all grids (on the same level) that border this grid

Definition at line 136 of file amr_module.f90.

Referenced by freebndrylist(), intfil(), and makebndrylist().

136  integer, parameter :: bndlistst = 18
integer, parameter bndlistst
pointer (actually it's an index in the bndList array) to the first node of a linked list...
Definition: amr_module.f90:136

◆ cfl

real(kind=8) amr_module::cfl

Definition at line 255 of file amr_module.f90.

Referenced by amr2(), domain(), stepgrid(), and stepgrid_dimsplit().

255  real(kind=8) cfl,cflmax,cflv1,cfl_level
real(kind=8) cfl
Definition: amr_module.f90:255
real(kind=8) cflmax
Definition: amr_module.f90:255
real(kind=8) cflv1
Definition: amr_module.f90:255
real(kind=8) cfl_level
Definition: amr_module.f90:255

◆ cfl_level

real(kind=8) amr_module::cfl_level

Definition at line 255 of file amr_module.f90.

Referenced by advanc(), stepgrid(), stepgrid_dimsplit(), and tick().

◆ cflmax

real(kind=8) amr_module::cflmax

Definition at line 255 of file amr_module.f90.

Referenced by advanc(), amr2(), check(), and restrt().

◆ cfluxptr

integer, parameter amr_module::cfluxptr = 5

Pointer to an 5 by maxsp array, which has boundary information for this grid.

About the Array

The array is generally referred to as listbc. It stores information about interface between grid mptr and all grids one level finer if they intersect. These interfaces consist of multiple cell edges (or segments, whose length = cell size on grid mptr). Each column in listbc has five entries and stores information associated with one segment. If a global index for all these segments is denoted by ispot, the five entries for the $ ispot^{th}$ segment can be explained as below:

  • listbc(1,ispot) stores LOCAL (RALATIVE to left boundary of grid mptr) i index of the cell on grid mptr that border this segment.
  • listbc(2,ispot) stores LOCAL (RALATIVE to left boundary of grid mptr) j index of the cell on grid mptr that border this segment.
  • listbc(3,ispot) stores side number, which indicates which side of this segment is a cell of grid mptr (coarse cell). If this segment is the left edge of a cell on grid mptr, this number is 1. The number increases (2, 3, 4) as it goes around a coarse cell clockwise (top edge, right edge, bottom edge).
  • listbc(4,ispot) stores grid number of the finer grid that borders this segment
  • listbc(5,ispot) stores the position of this segment with respect to the perimeter of this finer grid (grid listbc(4,ispot)). The fine grid will save all its fluxes all around its perimeter. This entry tells where the coarse grid should take them from. Note that number of fluxes saved here is equal to number of such segments (length = coarse cell size) needed to make up the perimeter.

Definition at line 80 of file amr_module.f90.

Referenced by outmsh(), par_advanc(), prepc(), putsp(), restrt(), and update().

80  integer, parameter :: cfluxptr = 5
integer, parameter cfluxptr
Pointer to an 5 by maxsp array, which has boundary information for this grid.
Definition: amr_module.f90:80

◆ cflv1

real(kind=8) amr_module::cflv1

Definition at line 255 of file amr_module.f90.

Referenced by amr2(), stepgrid(), and stepgrid_dimsplit().

◆ check_a

logical amr_module::check_a

Definition at line 312 of file amr_module.f90.

Referenced by amr2(), check(), and restrt().

312  logical :: check_a
logical check_a
Definition: amr_module.f90:312

◆ checkpt_interval

integer amr_module::checkpt_interval

Definition at line 280 of file amr_module.f90.

Referenced by amr2(), and tick().

◆ checkpt_style

integer amr_module::checkpt_style

Definition at line 280 of file amr_module.f90.

Referenced by amr2(), check(), and tick().

integer checkpt_interval
Definition: amr_module.f90:280
integer nchkpt
Definition: amr_module.f90:280
integer checkpt_style
Definition: amr_module.f90:280

◆ chkunit

integer, parameter amr_module::chkunit = 10

Definition at line 288 of file amr_module.f90.

Referenced by check().

288  integer, parameter :: chkunit = 10
integer, parameter chkunit
Definition: amr_module.f90:288

◆ cornxhi

integer, parameter amr_module::cornxhi = 3

x-coordinate of the right border of this grid

Definition at line 147 of file amr_module.f90.

Referenced by birect(), bound(), domain(), gfixup(), grdfit(), nestck2(), outmsh(), saveqc(), and gauges_module::setbestsrc().

147  integer, parameter :: cornxhi = 3
integer, parameter cornxhi
x-coordinate of the right border of this grid
Definition: amr_module.f90:147

◆ cornxlo

integer, parameter amr_module::cornxlo = 1

x-coordinate of the left border of this grid

Definition at line 143 of file amr_module.f90.

Referenced by birect(), bound(), bufnst2(), domain(), errf1(), flagger(), gfixup(), ginit(), grdfit(), nestck2(), outmsh(), outval(), par_advanc(), prepbigstep(), prepregstep(), saveqc(), gauges_module::setbestsrc(), spest2(), and valout().

143  integer, parameter :: cornxlo = 1
integer, parameter cornxlo
x-coordinate of the left border of this grid
Definition: amr_module.f90:143

◆ cornyhi

integer, parameter amr_module::cornyhi = 4

y-coordinate of the upper border of this grid

Definition at line 149 of file amr_module.f90.

Referenced by birect(), bound(), domain(), gfixup(), grdfit(), nestck2(), outmsh(), saveqc(), and gauges_module::setbestsrc().

149  integer, parameter :: cornyhi = 4
integer, parameter cornyhi
y-coordinate of the upper border of this grid
Definition: amr_module.f90:149

◆ cornylo

integer, parameter amr_module::cornylo = 2

y-coordinate of the lower border of this grid

Definition at line 145 of file amr_module.f90.

Referenced by birect(), bound(), bufnst2(), domain(), errf1(), flagger(), gfixup(), ginit(), grdfit(), nestck2(), outmsh(), outval(), par_advanc(), prepbigstep(), prepregstep(), saveqc(), gauges_module::setbestsrc(), spest2(), and valout().

145  integer, parameter :: cornylo = 2
integer, parameter cornylo
y-coordinate of the lower border of this grid
Definition: amr_module.f90:145

◆ dbugunit

integer, parameter amr_module::dbugunit = 11

Definition at line 293 of file amr_module.f90.

Referenced by amr2(), check(), fluxad(), fluxsv(), qad(), stepgrid(), and stepgrid_dimsplit().

293  integer, parameter :: dbugunit = 11
integer, parameter dbugunit
Definition: amr_module.f90:293

◆ dimensional_split

integer amr_module::dimensional_split

Definition at line 253 of file amr_module.f90.

Referenced by amr2(), and par_advanc().

◆ domflags2

integer, parameter amr_module::domflags2 = 17

domain flags, indexed within level-of-this-grid level index space

Definition at line 132 of file amr_module.f90.

Referenced by bufnst2(), colate2(), domgrid(), freeflags(), and setdomflags().

132  integer, parameter :: domflags2 = 17
integer, parameter domflags2
domain flags, indexed within level-of-this-grid level index space
Definition: amr_module.f90:132

◆ domflags_base

integer, parameter amr_module::domflags_base = 16

domain flags, indexed within base level (lbase) index space

Definition at line 129 of file amr_module.f90.

Referenced by bufnst2(), colate2(), domgrid(), and freeflags().

129  integer, parameter :: domflags_base = 16
integer, parameter domflags_base
domain flags, indexed within base level (lbase) index space
Definition: amr_module.f90:129

◆ dprint

logical amr_module::dprint

Definition at line 297 of file amr_module.f90.

Referenced by amr2(), domcopy(), domprep(), domshrink(), domup(), griddomshrink(), and griddomup().

297  logical &
298  dprint, & ! domain flags output
299  eprint, & ! error estimation output
300  edebug, & ! even more error estimation output
301  gprint, & ! verbose grid generation (clustering,colating...)
302  nprint, & ! nestck reporting
303  pprint, & ! projec tagged pts.
304  rprint, & ! regridding - summary of new grids
305  sprint, & ! space (memory) output
306  tprint, & ! tick (time stepping) reporting
307  uprint ! updating/upbnding reporting
logical sprint
Definition: amr_module.f90:297
logical rprint
Definition: amr_module.f90:297
logical edebug
Definition: amr_module.f90:297
logical gprint
Definition: amr_module.f90:297
logical eprint
Definition: amr_module.f90:297
logical nprint
Definition: amr_module.f90:297
logical tprint
Definition: amr_module.f90:297
logical pprint
Definition: amr_module.f90:297
logical dprint
Definition: amr_module.f90:297
logical uprint
Definition: amr_module.f90:297

◆ edebug

logical amr_module::edebug

Definition at line 297 of file amr_module.f90.

Referenced by amr2(), and errf1().

◆ eprint

logical amr_module::eprint

Definition at line 297 of file amr_module.f90.

Referenced by amr2(), bufnst2(), and errf1().

◆ errptr

integer, parameter amr_module::errptr = 3

Definition at line 41 of file amr_module.f90.

41  integer, parameter :: errptr = 3
integer, parameter errptr
Definition: amr_module.f90:41

◆ evol

real(kind=8) amr_module::evol

Definition at line 237 of file amr_module.f90.

Referenced by amr2(), check(), prepbigstep(), prepregstep(), restrt(), and setgrd().

◆ ffluxptr

integer, parameter amr_module::ffluxptr = 6

pointer to the address of memory storing fluxes in a layer around the grid, to be used in conservation fixup near coarse-fine grid intersections.

The memory allocated is $ 2 \times nvar \times lenbc + naux \times lenbc $, where $lenbc$ is the number of its parent grid cells adjacent to (around) their boundary interfaces. The coefficient 2 is for two spaces. One is for plus or minus fluxes, and the other is for the coarse solution for wave fixing.

From node(ffluxptr,mptr) to node(ffluxptr,mptr)+lenbc-1, it stores value that should be added to the adjacent coarse cell during the synchronization for conservation fixup

From node(ffluxptr,mptr)+lenbc to node(ffluxptr,mptr)+2*lenbc-1, it stores solution q on the adjacent coarse cell

Definition at line 97 of file amr_module.f90.

Referenced by fluxsv(), outmsh(), par_advanc(), prepf(), putsp(), restrt(), saveqc(), and upbnd().

97  integer, parameter :: ffluxptr = 6
integer, parameter ffluxptr
pointer to the address of memory storing fluxes in a layer around the grid, to be used in conservatio...
Definition: amr_module.f90:97

◆ flag_gradient

logical amr_module::flag_gradient

Definition at line 258 of file amr_module.f90.

Referenced by amr2(), flagger(), and spest2().

◆ flag_richardson

logical amr_module::flag_richardson

Definition at line 258 of file amr_module.f90.

Referenced by amr2(), bufnst2(), domain(), flagger(), restrt(), and setgrd().

258  logical :: flag_richardson,flag_gradient
logical flag_richardson
Definition: amr_module.f90:258
logical flag_gradient
Definition: amr_module.f90:258

◆ goodpt

real(kind=8), parameter amr_module::goodpt = 0.0

Definition at line 163 of file amr_module.f90.

Referenced by addflags(), bufnst2(), colate2(), errf1(), flagcheck(), flagger(), projec2(), setphysbndry(), and spest2().

163  real(kind=8), parameter :: goodpt = 0.0
real(kind=8), parameter goodpt
Definition: amr_module.f90:163

◆ gprint

logical amr_module::gprint

Definition at line 297 of file amr_module.f90.

Referenced by amr2(), colate2(), drivesort(), grdfit(), and smartbis().

◆ gridnbor

integer, parameter amr_module::gridnbor = 1

Definition at line 158 of file amr_module.f90.

Referenced by intfil(), and makebndrylist().

158  integer, parameter :: gridnbor = 1 !use 1st col, 2nd col is nextfree - the link
integer, parameter gridnbor
Definition: amr_module.f90:158

◆ horizontal

integer, parameter amr_module::horizontal = 1

Definition at line 171 of file amr_module.f90.

Referenced by findcut().

171  integer, parameter :: horizontal = 1
integer, parameter horizontal
Definition: amr_module.f90:171

◆ hxposs

real(kind=8), dimension(maxlv) amr_module::hxposs

Definition at line 193 of file amr_module.f90.

Referenced by advanc(), amr2(), basic(), birect(), bound(), bufnst2(), check(), conck(), domain(), errf1(), filrecur(), flagger(), gfixup(), ginit(), grdfit(), outmsh(), outval(), par_advanc(), prefilrecur(), preicall(), preintcopy(), prepbigstep(), prepc(), prepregstep(), restrt(), saveqc(), spest2(), stst1(), upbnd(), gauges_module::update_gauges(), and valout().

193  real(kind=8) hxposs(maxlv), hyposs(maxlv),possk(maxlv),rnode(rsize, maxgr)
integer, parameter rsize
Definition: amr_module.f90:30
integer, parameter maxlv
Definition: amr_module.f90:174
integer, parameter maxgr
Definition: amr_module.f90:173
real(kind=8), dimension(maxlv) hyposs
Definition: amr_module.f90:193
real(kind=8), dimension(maxlv) hxposs
Definition: amr_module.f90:193
real(kind=8), dimension(rsize, maxgr) rnode
Definition: amr_module.f90:193
real(kind=8), dimension(maxlv) possk
Definition: amr_module.f90:193

◆ hyposs

real(kind=8), dimension(maxlv) amr_module::hyposs

◆ ibuff

integer amr_module::ibuff

Definition at line 198 of file amr_module.f90.

Referenced by amr2(), bufnst2(), check(), colate2(), domgrid(), errest(), flagger(), freeflags(), nestck2(), projec2(), shiftset2(), and spest2().

198  integer ibuff, mstart, ndfree, ndfree_bnd, lfine, node(nsize, maxgr), &
202  iregst(maxlv),jregst(maxlv), &
integer, dimension(maxlv) kratio
Definition: amr_module.f90:198
integer, dimension(maxlv) numcells
Definition: amr_module.f90:198
integer, parameter maxlv
Definition: amr_module.f90:174
integer ndfree
Definition: amr_module.f90:198
integer, parameter maxgr
Definition: amr_module.f90:173
integer, dimension(maxlv) iregsz
Definition: amr_module.f90:198
integer, dimension(maxlv) newstl
Definition: amr_module.f90:198
integer, dimension(maxlv) jregsz
Definition: amr_module.f90:198
integer, dimension(nsize, maxgr) node
Definition: amr_module.f90:198
integer, dimension(maxlv) iregst
Definition: amr_module.f90:198
integer, dimension(maxlv) numgrids
Definition: amr_module.f90:198
integer ndfree_bnd
Definition: amr_module.f90:198
integer, dimension(maxlv) icheck
Definition: amr_module.f90:198
integer, parameter nsize
Definition: amr_module.f90:31
integer, dimension(maxlv) jregst
Definition: amr_module.f90:198
integer iorder
Definition: amr_module.f90:198
integer, dimension(maxlv) lstart
Definition: amr_module.f90:198
integer ibuff
Definition: amr_module.f90:198
integer, dimension(maxlv) intraty
Definition: amr_module.f90:198
integer, dimension(maxlv) jregend
Definition: amr_module.f90:198
integer, dimension(maxlv) listsp
Definition: amr_module.f90:198
integer, dimension(maxlv) intratx
Definition: amr_module.f90:198
integer mxnest
Definition: amr_module.f90:198
integer, dimension(maxlv) iregend
Definition: amr_module.f90:198
integer mstart
Definition: amr_module.f90:198
integer kcheck
Definition: amr_module.f90:198
integer lfine
Definition: amr_module.f90:198

◆ icheck

integer, dimension(maxlv) amr_module::icheck

Definition at line 198 of file amr_module.f90.

Referenced by check(), restrt(), stst1(), and tick().

◆ iinfinity

integer, parameter amr_module::iinfinity = 999999999

Definition at line 170 of file amr_module.f90.

Referenced by amr2(), grdfit(), and tick().

170  integer, parameter :: iinfinity = 999999999
integer, parameter iinfinity
Definition: amr_module.f90:170

◆ intratx

integer, dimension(maxlv) amr_module::intratx

◆ intraty

integer, dimension(maxlv) amr_module::intraty

◆ inunit

integer, parameter amr_module::inunit = 5

Definition at line 289 of file amr_module.f90.

Referenced by amr2().

289  integer, parameter :: inunit = 5
integer, parameter inunit
Definition: amr_module.f90:289

◆ iorder

integer amr_module::iorder

Definition at line 198 of file amr_module.f90.

Referenced by amr2(), check(), errf1(), and restrt().

◆ iout

integer amr_module::iout

Definition at line 270 of file amr_module.f90.

Referenced by amr2(), and tick().

◆ iregend

integer, dimension(maxlv) amr_module::iregend

Definition at line 198 of file amr_module.f90.

Referenced by check(), domain(), grdfit(), outtre(), and restrt().

◆ iregridcount

integer, dimension(maxlv) amr_module::iregridcount

Definition at line 238 of file amr_module.f90.

Referenced by amr2(), check(), domain(), regrid(), restrt(), setgrd(), and stst1().

238  integer :: iregridcount(maxlv), tvoll(maxlv)
integer, parameter maxlv
Definition: amr_module.f90:174
integer, dimension(maxlv) iregridcount
Definition: amr_module.f90:238
integer, dimension(maxlv) tvoll
Definition: amr_module.f90:238

◆ iregst

integer, dimension(maxlv) amr_module::iregst

Definition at line 198 of file amr_module.f90.

Referenced by check(), domain(), grdfit(), outtre(), and restrt().

◆ iregsz

integer, dimension(maxlv) amr_module::iregsz

◆ jregend

integer, dimension(maxlv) amr_module::jregend

Definition at line 198 of file amr_module.f90.

Referenced by check(), domain(), grdfit(), outtre(), and restrt().

◆ jregst

integer, dimension(maxlv) amr_module::jregst

Definition at line 198 of file amr_module.f90.

Referenced by check(), domain(), grdfit(), outtre(), and restrt().

◆ jregsz

integer, dimension(maxlv) amr_module::jregsz

◆ kcheck

integer amr_module::kcheck

Definition at line 198 of file amr_module.f90.

Referenced by amr2(), check(), restrt(), and tick().

◆ kratio

integer, dimension(maxlv) amr_module::kratio

Definition at line 198 of file amr_module.f90.

Referenced by amr2(), check(), domain(), restrt(), setgrd(), and tick().

◆ lendim

integer amr_module::lendim

Definition at line 247 of file amr_module.f90.

Referenced by amr2(), check(), igetsp(), and restrt().

◆ lenf

integer amr_module::lenf

Definition at line 225 of file amr_module.f90.

Referenced by check(), igetsp(), reclam(), restrt(), and stst1().

◆ lenmax

integer amr_module::lenmax

Definition at line 247 of file amr_module.f90.

Referenced by amr2(), check(), igetsp(), and restrt().

◆ lentot

integer amr_module::lentot

Definition at line 247 of file amr_module.f90.

Referenced by amr2(), check(), igetsp(), reclam(), and restrt().

247  integer lentot,lenmax,lendim
integer lendim
Definition: amr_module.f90:247
integer lenmax
Definition: amr_module.f90:247
integer lentot
Definition: amr_module.f90:247

◆ levelptr

integer, parameter amr_module::levelptr = 1

node number (index) of next grid on the same level

Definition at line 35 of file amr_module.f90.

Referenced by arrangegrids(), basecheck(), basic(), birect(), cleanup(), colate2(), conck(), domain(), domgrid(), domprep(), freeflags(), gfixup(), ginit(), grdfit(), icall(), intcopy(), intfil(), makegridlist(), outlev(), outmsh(), outtre(), prepc(), prepf(), prepgrids(), prepnewgrids(), projec2(), putsp(), regrid(), restrt(), saveqc(), gauges_module::setbestsrc(), setdomflags(), setgrd(), update(), and valout().

35  integer, parameter :: levelptr = 1
integer, parameter levelptr
node number (index) of next grid on the same level
Definition: amr_module.f90:35

◆ lfdim

integer, parameter amr_module::lfdim =5000

Definition at line 224 of file amr_module.f90.

Referenced by check(), reclam(), restrt(), and stst1().

224  integer, parameter :: lfdim=5000
integer, parameter lfdim
Definition: amr_module.f90:224

◆ lfine

integer amr_module::lfine

◆ lfree

integer, dimension(lfdim,2) amr_module::lfree

Definition at line 225 of file amr_module.f90.

Referenced by check(), igetsp(), reclam(), restrt(), and stst1().

225  integer lfree(lfdim,2),lenf
integer, parameter lfdim
Definition: amr_module.f90:224
integer, dimension(lfdim, 2) lfree
Definition: amr_module.f90:225
integer lenf
Definition: amr_module.f90:225

◆ listofgrids

integer, dimension(maxgr) amr_module::listofgrids

Definition at line 189 of file amr_module.f90.

Referenced by advanc(), bufnst2(), flagger(), intfil(), makebndrylist(), makegridlist(), and update().

189  integer :: listofgrids(maxgr),liststart(0:maxlv+1)
integer, parameter maxlv
Definition: amr_module.f90:174
integer, parameter maxgr
Definition: amr_module.f90:173
integer, dimension(0:maxlv+1) liststart
Definition: amr_module.f90:189
integer, dimension(maxgr) listofgrids
Definition: amr_module.f90:189

◆ listsp

integer, dimension(maxlv) amr_module::listsp

Definition at line 198 of file amr_module.f90.

Referenced by check(), par_advanc(), prepc(), putsp(), restrt(), and update().

◆ liststart

integer, dimension(0:maxlv+1) amr_module::liststart

◆ lstart

integer, dimension(maxlv) amr_module::lstart

◆ matlabout

logical amr_module::matlabout

Definition at line 264 of file amr_module.f90.

◆ matlabu

integer amr_module::matlabu

Definition at line 283 of file amr_module.f90.

Referenced by amr2(), check(), restrt(), and valout().

283  integer :: matlabu
integer matlabu
Definition: amr_module.f90:283

◆ matunit

integer, parameter amr_module::matunit = 70

Definition at line 294 of file amr_module.f90.

Referenced by amr2().

294  integer, parameter :: matunit = 70
integer, parameter matunit
Definition: amr_module.f90:294

◆ max1d

integer, parameter amr_module::max1d = 60

Definition at line 181 of file amr_module.f90.

Referenced by amr2(), birect(), qad(), saveqc(), stepgrid(), and stepgrid_dimsplit().

181  integer, parameter :: max1d = 60
integer, parameter max1d
Definition: amr_module.f90:181

◆ maxaux

integer, parameter amr_module::maxaux = 20

Definition at line 184 of file amr_module.f90.

Referenced by qad(), stepgrid(), stepgrid_dimsplit(), and gauges_module::update_gauges().

184  integer, parameter :: maxaux = 20
integer, parameter maxaux
Definition: amr_module.f90:184

◆ maxcl

integer, parameter amr_module::maxcl = 5000

maximum number of clusters (grids) on each grid level

Definition at line 177 of file amr_module.f90.

Referenced by grdfit(), nestck2(), and smartbis().

177  integer, parameter :: maxcl = 5000
integer, parameter maxcl
maximum number of clusters (grids) on each grid level
Definition: amr_module.f90:177

◆ maxgr

integer, parameter amr_module::maxgr = 15000

Definition at line 173 of file amr_module.f90.

Referenced by check(), nodget(), restrt(), gauges_module::set_gauges(), and stst1().

173  integer, parameter :: maxgr = 15000
integer, parameter maxgr
Definition: amr_module.f90:173

◆ maxlv

integer, parameter amr_module::maxlv = 10

Definition at line 174 of file amr_module.f90.

Referenced by amr2(), check(), restrt(), stst1(), and tick().

174  integer, parameter :: maxlv = 10
integer, parameter maxlv
Definition: amr_module.f90:174

◆ maxvar

integer, parameter amr_module::maxvar = 10

Definition at line 183 of file amr_module.f90.

Referenced by amr2(), stepgrid(), stepgrid_dimsplit(), and gauges_module::update_gauges().

183  integer, parameter :: maxvar = 10
integer, parameter maxvar
Definition: amr_module.f90:183

◆ maxwave

integer, parameter amr_module::maxwave = 10

Definition at line 185 of file amr_module.f90.

185  integer, parameter :: maxwave = 10
integer, parameter maxwave
Definition: amr_module.f90:185

◆ mcapa

integer amr_module::mcapa

◆ memsize

integer amr_module::memsize

Definition at line 219 of file amr_module.f90.

Referenced by check(), igetsp(), init_alloc(), resize_storage(), restrt(), restrt_alloc(), and stst1().

219  integer memsize
integer memsize
Definition: amr_module.f90:219

◆ method

integer, dimension(7) amr_module::method

Definition at line 253 of file amr_module.f90.

Referenced by amr2(), flux2(), flux2_dimsplit(), qad(), regrid(), setgrd(), stepgrid(), stepgrid_dimsplit(), and tick().

253  integer method(7), mwaves, mcapa, dimensional_split
integer, dimension(7) method
Definition: amr_module.f90:253
integer dimensional_split
Definition: amr_module.f90:253
integer mcapa
Definition: amr_module.f90:253
integer mwaves
Definition: amr_module.f90:253

◆ mstart

integer amr_module::mstart

Definition at line 198 of file amr_module.f90.

Referenced by amr2(), check(), domain(), nestck2(), restrt(), and tick().

◆ mthbc

integer, dimension(4) amr_module::mthbc

Definition at line 232 of file amr_module.f90.

Referenced by amr2(), and bc2amr().

◆ mthlim

integer, dimension(:), allocatable amr_module::mthlim

Definition at line 254 of file amr_module.f90.

Referenced by amr2(), flux2(), flux2_dimsplit(), and limiter().

254  integer, allocatable :: mthlim(:)
integer, dimension(:), allocatable mthlim
Definition: amr_module.f90:254

◆ mwaves

integer amr_module::mwaves

Definition at line 253 of file amr_module.f90.

Referenced by amr2(), flux2(), flux2_dimsplit(), limiter(), and qad().

◆ mxnest

integer amr_module::mxnest

◆ naux_components

integer amr_module::naux_components

Definition at line 274 of file amr_module.f90.

◆ ncarout

logical amr_module::ncarout

Definition at line 264 of file amr_module.f90.

◆ nchkpt

integer amr_module::nchkpt

Definition at line 280 of file amr_module.f90.

Referenced by amr2(), and tick().

◆ ndfree

integer amr_module::ndfree

Definition at line 198 of file amr_module.f90.

Referenced by check(), nodget(), putnod(), restrt(), and stst1().

◆ ndfree_bnd

integer amr_module::ndfree_bnd

Definition at line 198 of file amr_module.f90.

Referenced by check(), initbndrylist(), nodget_bnd(), putnod_bnd(), and restrt().

◆ ndihi

integer, parameter amr_module::ndihi = 10

global i index of right border of this grid

Definition at line 111 of file amr_module.f90.

Referenced by advanc(), arrangegrids(), basecheck(), birect(), bound(), bufnst2(), cleanup(), colate2(), conck(), domain(), domgrid(), domprep(), flagger(), fluxsv(), freeflags(), gfixup(), ginit(), grdfit(), icall(), intcopy(), intfil(), makebndrylist(), moment(), nestck2(), outmsh(), par_advanc(), prepc(), prepf(), projec2(), putsp(), regrid(), restrt(), saveqc(), setdomflags(), setgrd(), spest2(), update(), and valout().

111  integer, parameter :: ndihi = 10
integer, parameter ndihi
global i index of right border of this grid
Definition: amr_module.f90:111

◆ ndilo

integer, parameter amr_module::ndilo = 9

global i index of left border of this grid

Definition at line 108 of file amr_module.f90.

Referenced by advanc(), arrangegrids(), basecheck(), birect(), bound(), bufnst2(), cleanup(), colate2(), conck(), domain(), domgrid(), domprep(), flagger(), fluxsv(), freeflags(), gfixup(), ginit(), grdfit(), icall(), intcopy(), intfil(), makebndrylist(), moment(), nestck2(), outmsh(), par_advanc(), prepc(), prepf(), projec2(), putsp(), regrid(), restrt(), saveqc(), setdomflags(), setflags(), setgrd(), spest2(), update(), and valout().

108  integer, parameter :: ndilo = 9
integer, parameter ndilo
global i index of left border of this grid
Definition: amr_module.f90:108

◆ ndjhi

integer, parameter amr_module::ndjhi = 12

global j index of upper border of this grid

Definition at line 117 of file amr_module.f90.

Referenced by advanc(), arrangegrids(), basecheck(), birect(), bound(), bufnst2(), cleanup(), colate2(), conck(), domain(), domgrid(), domprep(), flagger(), fluxsv(), freeflags(), gfixup(), ginit(), grdfit(), icall(), intcopy(), intfil(), makebndrylist(), moment(), nestck2(), outmsh(), par_advanc(), prepc(), prepf(), projec2(), putsp(), regrid(), restrt(), saveqc(), setdomflags(), setgrd(), spest2(), update(), and valout().

117  integer, parameter :: ndjhi = 12
integer, parameter ndjhi
global j index of upper border of this grid
Definition: amr_module.f90:117

◆ ndjlo

integer, parameter amr_module::ndjlo = 11

global j index of lower border of this grid

Definition at line 114 of file amr_module.f90.

Referenced by advanc(), arrangegrids(), basecheck(), birect(), bound(), bufnst2(), cleanup(), colate2(), conck(), domain(), domgrid(), domprep(), flagger(), fluxsv(), freeflags(), gfixup(), ginit(), grdfit(), icall(), intcopy(), intfil(), makebndrylist(), moment(), nestck2(), outmsh(), par_advanc(), prepc(), prepf(), projec2(), putsp(), regrid(), restrt(), saveqc(), setdomflags(), setflags(), setgrd(), spest2(), update(), and valout().

114  integer, parameter :: ndjlo = 11
integer, parameter ndjlo
global j index of lower border of this grid
Definition: amr_module.f90:114

◆ needs_to_be_set

real(kind=8), parameter amr_module::needs_to_be_set = 10.e33

Definition at line 168 of file amr_module.f90.

Referenced by filrecur(), filval(), fixcapaq(), ginit(), prefilrecur(), preicall(), prepbigstep(), and saveqc().

168  real(kind=8), parameter :: needs_to_be_set = 10.e33
real(kind=8), parameter needs_to_be_set
Definition: amr_module.f90:168

◆ nestlevel

integer, parameter amr_module::nestlevel = 4

AMR level of the grid.

Definition at line 44 of file amr_module.f90.

Referenced by basecheck(), birect(), bound(), domain(), errf1(), flagcheck(), fluxsv(), ginit(), grdfit(), nestck2(), outmsh(), outtre(), outval(), par_advanc(), qad(), setuse(), upbnd(), and gauges_module::update_gauges().

44  integer, parameter :: nestlevel = 4
integer, parameter nestlevel
AMR level of the grid.
Definition: amr_module.f90:44

◆ newstl

integer, dimension(maxlv) amr_module::newstl

Definition at line 198 of file amr_module.f90.

Referenced by check(), filval(), gfixup(), grdfit(), prepnewgrids(), projec2(), regrid(), restrt(), and setgrd().

◆ nextfree

integer, parameter amr_module::nextfree = 2

Definition at line 154 of file amr_module.f90.

Referenced by freebndrylist(), initbndrylist(), intfil(), makebndrylist(), nodget(), nodget_bnd(), putnod(), putnod_bnd(), and stst1().

154  integer, parameter :: nextfree = 2
integer, parameter nextfree
Definition: amr_module.f90:154

◆ nghost

integer amr_module::nghost

◆ nil

integer, parameter amr_module::nil = 0

Definition at line 156 of file amr_module.f90.

156  integer, parameter :: nil = 0
integer, parameter nil
Definition: amr_module.f90:156

◆ node

integer, dimension(nsize, maxgr) amr_module::node

◆ nout

integer amr_module::nout

Definition at line 270 of file amr_module.f90.

Referenced by amr2(), and tick().

◆ nprint

logical amr_module::nprint

Definition at line 297 of file amr_module.f90.

Referenced by amr2(), flagcheck(), and nestck2().

◆ nq_components

integer amr_module::nq_components

Definition at line 274 of file amr_module.f90.

integer naux_components
Definition: amr_module.f90:274
integer output_format
Definition: amr_module.f90:274
integer nq_components
Definition: amr_module.f90:274

◆ nsize

integer, parameter amr_module::nsize = 19

Definition at line 31 of file amr_module.f90.

Referenced by basic(), grdfit(), moment(), nodget(), and smartbis().

31  integer, parameter :: nsize = 19
integer, parameter nsize
Definition: amr_module.f90:31

◆ nstop

integer amr_module::nstop

Definition at line 270 of file amr_module.f90.

Referenced by amr2(), and tick().

◆ null

integer, parameter amr_module::null = 0

Definition at line 155 of file amr_module.f90.

Referenced by advanc(), arrangegrids(), grdfit(), initbndrylist(), nodget(), nodget_bnd(), and stst1().

155  integer, parameter :: null = 0
integer, parameter null
Definition: amr_module.f90:155

◆ numcells

integer, dimension(maxlv) amr_module::numcells

Definition at line 198 of file amr_module.f90.

Referenced by domain(), regrid(), setgrd(), and stst1().

◆ numflags

integer, parameter amr_module::numflags = 15

number of flagged cells on this grid

Definition at line 126 of file amr_module.f90.

Referenced by bufnst2(), and colate2().

126  integer, parameter :: numflags = 15
integer, parameter numflags
number of flagged cells on this grid
Definition: amr_module.f90:126

◆ numgrids

integer, dimension(maxlv) amr_module::numgrids

◆ output_aux_components

integer, dimension(:), allocatable amr_module::output_aux_components

Definition at line 276 of file amr_module.f90.

Referenced by amr2(), and valout().

276  integer, allocatable :: output_aux_components(:)
integer, dimension(:), allocatable output_aux_components
Definition: amr_module.f90:276

◆ output_aux_onlyonce

logical amr_module::output_aux_onlyonce

Definition at line 277 of file amr_module.f90.

Referenced by amr2(), and valout().

277  logical :: output_aux_onlyonce
logical output_aux_onlyonce
Definition: amr_module.f90:277

◆ output_format

integer amr_module::output_format

Definition at line 274 of file amr_module.f90.

Referenced by amr2(), and valout().

◆ output_q_components

integer, dimension(:), allocatable amr_module::output_q_components

Definition at line 275 of file amr_module.f90.

Referenced by amr2().

275  integer, allocatable :: output_q_components(:)
integer, dimension(:), allocatable output_q_components
Definition: amr_module.f90:275

◆ output_style

integer amr_module::output_style

Definition at line 270 of file amr_module.f90.

Referenced by amr2().

270  integer :: output_style, nstop, nout, iout
integer iout
Definition: amr_module.f90:270
integer nstop
Definition: amr_module.f90:270
integer nout
Definition: amr_module.f90:270
integer output_style
Definition: amr_module.f90:270

◆ outunit

integer, parameter amr_module::outunit = 66

◆ parmunit

integer, parameter amr_module::parmunit = 12

Definition at line 287 of file amr_module.f90.

Referenced by amr2(), and regions_module::set_regions().

287  integer, parameter :: parmunit = 12
integer, parameter parmunit
Definition: amr_module.f90:287

◆ pltunit1

integer, parameter amr_module::pltunit1 = 3

Definition at line 291 of file amr_module.f90.

Referenced by basic(), and outvar().

291  integer, parameter :: pltunit1 = 3
integer, parameter pltunit1
Definition: amr_module.f90:291

◆ possk

real(kind=8), dimension(maxlv) amr_module::possk

◆ pprint

logical amr_module::pprint

Definition at line 297 of file amr_module.f90.

Referenced by amr2(), and projec2().

◆ printout

logical amr_module::printout

Definition at line 264 of file amr_module.f90.

Referenced by amr2(), and tick().

264  logical printout,matlabout,ncarout
logical ncarout
Definition: amr_module.f90:264
logical printout
Definition: amr_module.f90:264
logical matlabout
Definition: amr_module.f90:264

◆ rinfinity

real(kind=8), parameter amr_module::rinfinity = 10.e32

Definition at line 169 of file amr_module.f90.

Referenced by advanc(), amr2(), stepgrid(), stepgrid_dimsplit(), and tick().

169  real(kind=8), parameter :: rinfinity = 10.e32
real(kind=8), parameter rinfinity
Definition: amr_module.f90:169

◆ rnode

real(kind=8), dimension(rsize, maxgr) amr_module::rnode

◆ rprint

logical amr_module::rprint

Definition at line 297 of file amr_module.f90.

Referenced by amr2(), and tick().

◆ rsize

integer, parameter amr_module::rsize = 5

Definition at line 30 of file amr_module.f90.

Referenced by basic(), check(), grdfit(), nodget(), and restrt().

30  integer, parameter :: rsize = 5
integer, parameter rsize
Definition: amr_module.f90:30

◆ rstfile

character(len=200) amr_module::rstfile

Definition at line 311 of file amr_module.f90.

Referenced by amr2(), and restrt().

311  character(len=200) :: rstfile
character(len=200) rstfile
Definition: amr_module.f90:311

◆ rstunit

integer, parameter amr_module::rstunit = 9

Definition at line 292 of file amr_module.f90.

Referenced by restrt().

292  integer, parameter :: rstunit = 9
integer, parameter rstunit
Definition: amr_module.f90:292

◆ rvol

real(kind=8) amr_module::rvol

Definition at line 237 of file amr_module.f90.

Referenced by amr2(), check(), par_advanc(), restrt(), and setgrd().

◆ rvoll

real(kind=8), dimension(maxlv) amr_module::rvoll

Definition at line 237 of file amr_module.f90.

Referenced by amr2(), check(), par_advanc(), restrt(), and setgrd().

237  real(kind=8) rvoll(maxlv),evol,rvol,avenumgrids(maxlv)
integer, parameter maxlv
Definition: amr_module.f90:174
real(kind=8) evol
Definition: amr_module.f90:237
real(kind=8), dimension(maxlv) avenumgrids
Definition: amr_module.f90:237
real(kind=8) rvol
Definition: amr_module.f90:237
real(kind=8), dimension(maxlv) rvoll
Definition: amr_module.f90:237

◆ spheredom

logical amr_module::spheredom

◆ sprint

logical amr_module::sprint

Definition at line 297 of file amr_module.f90.

Referenced by amr2(), igetsp(), and reclam().

◆ store1

integer, parameter amr_module::store1 = 7

pointer to the address of memory storing the first copy of solution data on this grid, usually for storing new solution

Definition at line 101 of file amr_module.f90.

Referenced by advanc(), cleanup(), conck(), domain(), errest(), flagger(), gfixup(), ginit(), icall(), intcopy(), intfil(), outmsh(), par_advanc(), restrt(), setgrd(), spest2(), update(), and valout().

101  integer, parameter :: store1 = 7
integer, parameter store1
pointer to the address of memory storing the first copy of solution data on this grid, usually for storing new solution
Definition: amr_module.f90:101

◆ store2

integer, parameter amr_module::store2 = 8

pointer to the address of memory storing the second copy of solution data on this grid, usually for storing old solution

Definition at line 105 of file amr_module.f90.

Referenced by cleanup(), errest(), flagger(), gfixup(), ginit(), intfil(), outmsh(), par_advanc(), prepbigstep(), restrt(), setgrd(), and spest2().

105  integer, parameter :: store2 = 8
integer, parameter store2
pointer to the address of memory storing the second copy of solution data on this grid...
Definition: amr_module.f90:105

◆ storeaux

integer, parameter amr_module::storeaux = 13

pointer to the address of memory storing auxiliary data on this grid

Definition at line 120 of file amr_module.f90.

Referenced by advanc(), cleanup(), conck(), domain(), errest(), flagger(), gfixup(), ginit(), icall(), outmsh(), par_advanc(), restrt(), saveqc(), spest2(), upbnd(), update(), and valout().

120  integer, parameter :: storeaux = 13
integer, parameter storeaux
pointer to the address of memory storing auxiliary data on this grid
Definition: amr_module.f90:120

◆ storeflags

integer, parameter amr_module::storeflags = 14

pointer to the address of memory storing flags for refinement on this grid

Definition at line 123 of file amr_module.f90.

Referenced by bufnst2(), colate2(), errest(), flagger(), freeflags(), and spest2().

123  integer, parameter :: storeflags = 14
integer, parameter storeflags
pointer to the address of memory storing flags for refinement on this grid
Definition: amr_module.f90:123

◆ t0

real(kind=8) amr_module::t0

Definition at line 272 of file amr_module.f90.

Referenced by amr2(), conck(), and valout().

272  real(kind=8) :: t0, tfinal
real(kind=8) t0
Definition: amr_module.f90:272
real(kind=8) tfinal
Definition: amr_module.f90:272

◆ tchk

real(kind=8), dimension(:), allocatable amr_module::tchk

Definition at line 281 of file amr_module.f90.

Referenced by amr2(), and tick().

281  real(kind=8), allocatable :: tchk(:)
real(kind=8), dimension(:), allocatable tchk
Definition: amr_module.f90:281

◆ tempptr

integer, parameter amr_module::tempptr = 2

temporary pointer

Definition at line 38 of file amr_module.f90.

Referenced by bufnst2(), errest(), flagger(), and spest2().

38  integer, parameter :: tempptr = 2
integer, parameter tempptr
temporary pointer
Definition: amr_module.f90:38

◆ tfinal

real(kind=8) amr_module::tfinal

Definition at line 272 of file amr_module.f90.

Referenced by amr2(), and tick().

◆ timebound

integer amr_module::timebound

Definition at line 241 of file amr_module.f90.

Referenced by advanc(), amr2(), check(), inittimers(), and restrt().

241  integer :: timebound,timestepgrid
integer timebound
Definition: amr_module.f90:241
integer timestepgrid
Definition: amr_module.f90:241

◆ timeboundcpu

real(kind=8) amr_module::timeboundcpu

Definition at line 244 of file amr_module.f90.

Referenced by advanc(), amr2(), check(), inittimers(), and restrt().

real(kind=8) timeboundcpu
Definition: amr_module.f90:244
real(kind=8) timeregriddingcpu
Definition: amr_module.f90:244
real(kind=8) timestepgridcpu
Definition: amr_module.f90:244

◆ timebufnst

integer amr_module::timebufnst

Definition at line 242 of file amr_module.f90.

Referenced by amr2(), flglvl2(), initrestoftimers(), and inittimers().

◆ timeflagger

integer amr_module::timeflagger

Definition at line 242 of file amr_module.f90.

Referenced by amr2(), flglvl2(), initrestoftimers(), and inittimers().

242  integer :: timeflagger, timebufnst,timetick
integer timetick
Definition: amr_module.f90:242
integer timeflagger
Definition: amr_module.f90:242
integer timebufnst
Definition: amr_module.f90:242

◆ timeflglvl

integer amr_module::timeflglvl

Definition at line 240 of file amr_module.f90.

Referenced by grdfit(), initrestoftimers(), and inittimers().

integer timegrdfit2
Definition: amr_module.f90:240
integer timegrdfitall
Definition: amr_module.f90:240
integer timegrdfit3
Definition: amr_module.f90:240
integer timeflglvl
Definition: amr_module.f90:240

◆ timegrdfit2

integer amr_module::timegrdfit2

Definition at line 240 of file amr_module.f90.

Referenced by initrestoftimers(), inittimers(), and regrid().

◆ timegrdfit3

integer amr_module::timegrdfit3

Definition at line 240 of file amr_module.f90.

◆ timegrdfitall

integer amr_module::timegrdfitall

Definition at line 240 of file amr_module.f90.

Referenced by grdfit(), and inittimers().

◆ timemult

integer, parameter amr_module::timemult = 5

current simulation time on this grid

Definition at line 151 of file amr_module.f90.

Referenced by advanc(), birect(), bufnst2(), errf1(), flagger(), gfixup(), ginit(), grdfit(), intfil(), outmsh(), par_advanc(), prepbigstep(), prepregstep(), qad(), regrid(), saveqc(), setgrd(), spest2(), and gauges_module::update_gauges().

151  integer, parameter :: timemult = 5
integer, parameter timemult
current simulation time on this grid
Definition: amr_module.f90:151

◆ timeregridding

integer amr_module::timeregridding

Definition at line 239 of file amr_module.f90.

Referenced by amr2(), check(), inittimers(), restrt(), and tick().

integer timeupdating
Definition: amr_module.f90:239
integer timevalout
Definition: amr_module.f90:239
integer timeregridding
Definition: amr_module.f90:239

◆ timeregriddingcpu

real(kind=8) amr_module::timeregriddingcpu

Definition at line 244 of file amr_module.f90.

Referenced by amr2(), check(), inittimers(), restrt(), and tick().

◆ timestepgrid

integer amr_module::timestepgrid

Definition at line 241 of file amr_module.f90.

Referenced by advanc(), amr2(), check(), inittimers(), and restrt().

◆ timestepgridcpu

real(kind=8) amr_module::timestepgridcpu

Definition at line 244 of file amr_module.f90.

Referenced by advanc(), amr2(), check(), inittimers(), and restrt().

◆ timetick

integer amr_module::timetick

Definition at line 242 of file amr_module.f90.

Referenced by amr2(), check(), inittimers(), restrt(), and tick().

◆ timetickcpu

real(kind=8) amr_module::timetickcpu

Definition at line 243 of file amr_module.f90.

Referenced by amr2(), check(), inittimers(), restrt(), and tick().

◆ timeupdating

integer amr_module::timeupdating

Definition at line 239 of file amr_module.f90.

Referenced by amr2(), initrestoftimers(), inittimers(), and tick().

◆ timevalout

integer amr_module::timevalout

Definition at line 239 of file amr_module.f90.

Referenced by amr2(), check(), inittimers(), restrt(), and valout().

◆ timevaloutcpu

real(kind=8) amr_module::timevaloutcpu

Definition at line 245 of file amr_module.f90.

Referenced by amr2(), check(), inittimers(), restrt(), and valout().

245  real(kind=8) timevaloutcpu
real(kind=8) timevaloutcpu
Definition: amr_module.f90:245

◆ tmass0

real(kind=8) amr_module::tmass0

Definition at line 267 of file amr_module.f90.

Referenced by check(), conck(), and restrt().

267  real(kind=8) tmass0
real(kind=8) tmass0
Definition: amr_module.f90:267

◆ tol

real(kind=8) amr_module::tol

Definition at line 197 of file amr_module.f90.

Referenced by amr2(), check(), and errf1().

197  real(kind=8) tol, tolsp
real(kind=8) tol
Definition: amr_module.f90:197
real(kind=8) tolsp
Definition: amr_module.f90:197

◆ tolsp

real(kind=8) amr_module::tolsp

Definition at line 197 of file amr_module.f90.

Referenced by amr2(), flagger(), and spest2().

◆ tout

real(kind=8), dimension(:), allocatable amr_module::tout

Definition at line 271 of file amr_module.f90.

Referenced by amr2(), and tick().

271  real(kind=8), allocatable :: tout(:)
real(kind=8), dimension(:), allocatable tout
Definition: amr_module.f90:271

◆ tprint

logical amr_module::tprint

Definition at line 297 of file amr_module.f90.

Referenced by amr2(), and tick().

◆ tstart_thisrun

real(kind=8) amr_module::tstart_thisrun

Definition at line 273 of file amr_module.f90.

Referenced by amr2().

273  real(kind=8) :: tstart_thisrun ! /= t0 in case of restart
real(kind=8) tstart_thisrun
Definition: amr_module.f90:273

◆ tvoll

integer, dimension(maxlv) amr_module::tvoll

Definition at line 238 of file amr_module.f90.

Referenced by advanc(), amr2(), check(), restrt(), and stst1().

◆ tvollcpu

real(kind=8), dimension(maxlv) amr_module::tvollcpu

Definition at line 243 of file amr_module.f90.

Referenced by advanc(), amr2(), check(), and restrt().

243  real(kind=8) tvollcpu(maxlv), timetickcpu
integer, parameter maxlv
Definition: amr_module.f90:174
real(kind=8) timetickcpu
Definition: amr_module.f90:243
real(kind=8), dimension(maxlv) tvollcpu
Definition: amr_module.f90:243

◆ uprint

logical amr_module::uprint

Definition at line 297 of file amr_module.f90.

Referenced by amr2(), upbnd(), and update().

◆ use_fwaves

logical amr_module::use_fwaves

Definition at line 257 of file amr_module.f90.

Referenced by amr2(), flux2(), and flux2_dimsplit().

257  logical :: use_fwaves
logical use_fwaves
Definition: amr_module.f90:257

◆ verbosity_regrid

integer amr_module::verbosity_regrid

Definition at line 259 of file amr_module.f90.

Referenced by amr2(), bufnst2(), regrid(), setgrd(), and tick().

259  integer :: verbosity_regrid
integer verbosity_regrid
Definition: amr_module.f90:259

◆ vertical

integer, parameter amr_module::vertical = 2

Definition at line 172 of file amr_module.f90.

Referenced by findcut(), and smartbis().

172  integer, parameter :: vertical = 2
integer, parameter vertical
Definition: amr_module.f90:172

◆ xlower

real(kind=8) amr_module::xlower

◆ xperdom

logical amr_module::xperdom

◆ xupper

real(kind=8) amr_module::xupper

Definition at line 231 of file amr_module.f90.

Referenced by amr2(), basic(), bc2amr(), bound(), domain(), filrecur(), and filval().

231  real(kind=8) :: xupper, yupper, xlower, ylower
real(kind=8) xupper
Definition: amr_module.f90:231
real(kind=8) xlower
Definition: amr_module.f90:231
real(kind=8) ylower
Definition: amr_module.f90:231
real(kind=8) yupper
Definition: amr_module.f90:231

◆ ylower

real(kind=8) amr_module::ylower

◆ yperdom

logical amr_module::yperdom

◆ yupper

real(kind=8) amr_module::yupper

Definition at line 231 of file amr_module.f90.

Referenced by amr2(), basic(), bc2amr(), bound(), domain(), filrecur(), and filval().